• Home

Articles

Mate causes neonatal abstinence syndrome

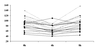
Mate is a very common infusion in many South American countries. It's prepared by steeping dried leaves of yerba mate in hot water. UAB researchers have observed a neonatal baby, whose mother is a heavy consumer of mate, who presented increased jitteriness and irritability,...

El mate provoca síndrome d'abstinència durant la lactància